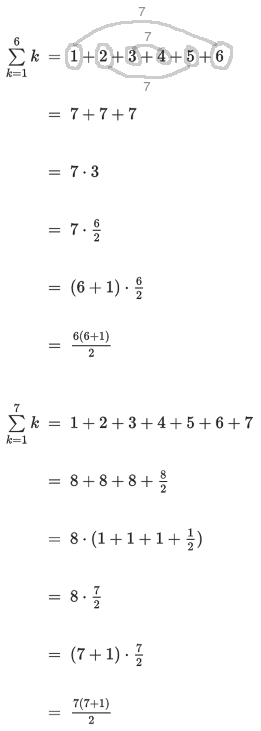
Here is an image to maybe help see this:

| sum of green angles = 4 * 180° | because the sum of interior angles in each triangle is 180° | |
| sum of pink angles = 360° | because the sum of interior angles in a quadrilateral is 360° | |
| (see this by drawing two triangles inside a quadrilateral.) | ||
| sum of purple angles = sum of pink angles | because vertical angles are congruent. | |
sum of orange angles = sum of green angles - sum of purple angles
sum of orange angles = 4 * 180° - 360°
sum of orange angles = 360°
(I apologize if you are colorblind!!)